Содержание
Разрывная нагрузка троса – Какую нагрузку выдерживает стальной трос
Содержание
- Разновидности стальных канатов
- Параметры прочности стальных тросов на разрыв
При покупке такелажных приспособлений важно знать, какую нагрузку выдерживает трос, поскольку любой перегруз может привести к обрыву подвесной системы. Допустимые значения стального каната определяются его прочностными характеристиками, которые могут варьироваться согласно конструкции, диаметру и способу производства.
Разновидности стальных канатов
Тросы относятся к крученым или витым изделиям, изготавливаемым из стали, синтетических и органических нитей. В производстве стальной продукции применяется оцинкованная высокоуглеродистая проволока сечением 0,4–3 мм, обладающая значительным запасом прочности при нагрузках на разрыв (от 130 до 200 кгс/мм2).
Металлические нити, используемые в изготовлении продукции, бывают нескольких марок.
Наилучшими прочностными характеристиками обладает проволока категории В, менее качественным считается сырье марок I и II. Прежде чем определить, какую нагрузку выдерживает трос 5 мм или другой толщины, следует принять во внимание, что вне зависимости от качества материала канаты различаются между собой по конструкции и бывают трех типов:
- Одинарной свивки – сделаны из одной пряди с проволокой одинакового сечения. Их элементы свиваются вокруг одной из металлических нитей до 4-х слоев. Маркируются стальные тросы как сумма из цифр, указывающих на число проволок в плетении. Например, 1+9+9 говорит о том, что в канате имеется 19 проволок, из них одна размещается в центральной части, 9 свиты в первом слое и 9 во втором.
- Двойной свивки – изготовлены из нескольких прядей, накладываемых в 1–2 слоя вокруг сердечника. Для сердечника используют свитую проволоку, органические или минеральные материалы, которые улучшают прочность стального троса и предотвращают проваливание прядей внутрь изделия.
Чаще всего такую продукцию применяют для тросовой работы. - Тройной свивки – сделаны из нескольких тросов. Как и при двойной свивке, они имеют сердечник, однако изготавливаются из проволоки меньшего сечения и используется там, где необходима повышенная гибкость канатов (как правило, для кабельных работ).
Проволока, расположенная в разных слоях, может иметь точечное, линейное или точечно-линейное касание. Устанавливая, какую нагрузку выдерживает трос диаметром 6 мм или иной толщины, нужно учитывать, что канаты с точечным касанием (ТК) актуальны только при незначительных пульсирующих нагрузках. Изделия с линейным касанием (ЛК) отличаются обширной сферой применения, а с точечно-линеныйм (ТЛК) используются в местах, где ЛК не могут обеспечить рекомендуемый запас прочности.
При изготовлении продукции обычно применяется крестовая свивка. Проволока в ее наружном слое имеет различное направление, что гарантирует более крепкое сплетение и простоту в эксплуатации.
По желанию заказчиков заводы-производители могут изготовить и другие разновидности свивки, такие как одностороннюю и комбинированную.
Помимо классификации по конструкции, канаты делятся по степени скручивания и могут быть гибкими или жесткими. Последние характеризуются более высокой прочностью на разрыв, поскольку выпускаются из малого числа металлических нитей большого диаметра. Для сравнения гибкости тех или иных модификаций можно воспользоваться таблицей.
|
|
|
|
|
|
|
|
|
|
| |
|
|
|
|
|
|
|
|
|
|
|
|
|
|
|
|
Параметры прочности стальных тросов на разрыв
Чтобы установить, какую нагрузку выдерживает стальной трос, важно учесть, что его выбор определяется двумя основными параметрами – разрывной и рабочей прочностью.
Разрывная прочность
Под разрывной прочностью понимается минимальное усилие на канат, при котором он будет рваться. Если необходимо определить эту величину троса стального, характеристики на разрыв берут из ГОСТ или выявляют по формуле:
R=Kd2, где
- K – коэффициент запаса прочности;
- d – диаметр, мм.
Коэффициент К при подсчете разрывной нагрузки тросов является неизменным и выбирается в зависимости от разновидности конкретной продукции. Так, если надо выяснить значение изделия однопрядного типа, используют показатель 70. Для каната с одним органическим сердечником берут цифру 40, с несколькими сердечниками – 34.
Рабочая прочность
Чтобы подобрать изделие под конкретные условия работы, необходимо ориентироваться на рабочую прочность стальных тросов на разрыв. Этот параметр определяется как допустимое натяжение, которое канат может выдержать при эксплуатации без потери целостности.
Для подсчета значения можно использовать следующую формулу:
Р= R/К, где
- R – разрывная прочность, кгс;
- K – коэффициент запаса крепости.
Важно учитывать, что данный параметр, равно как и разрывное усилие, зависит от толщины каната. Иными словами, характеристики стального троса 5 мм будут отличаться, например, от разрывной нагрузки троса 6 мм. Обратите внимание, что за единицу измерения при подсчетах рабочей крепости принимается 1 килоньютон (кН), равный 100кг.
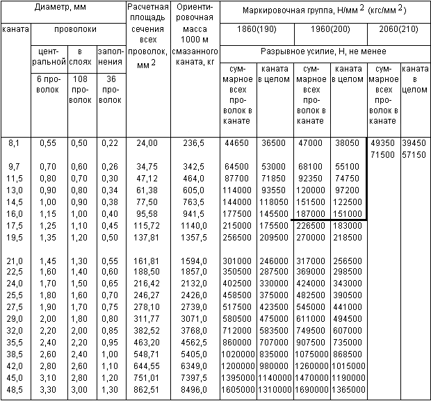
При определении допустимого и разрывного усилия стальных канатов таблица ниже поможет выяснить характеристики наиболее распространенных диаметров.
|
|
|
|
|
|
|
|
|
|
|
|
|
|
|
|
|
|
|
|
|
|
|
|
|
|
|
|
|
|
|
|
Как понятно из предложенной таблицы, канаты данных диаметров будут продолжительное время функционировать без повреждений при нагрузках в диапазоне 47–174 кг.
Вместе с тем, усилие, необходимое для их повреждения, составляет от 235 кг для металлического троса 2 мм до 5880 кг для троса 10 мм.
На основании сказанного можно сделать вывод, что параметры прочности канатов играют основополагающую роль при покупке. Если заблаговременно выяснить разрывные нагрузки стальных тросов и подобрать их под конкретные рабочие условия, изделия будут надежно и длительно выполнять свои функции при перевозке или подъеме грузов.
Разрывное усилие каната — что это такое и как правильно определить?
Стальная канатная продукция (троса) – распространенная и весьма востребованная разновидность металлоизделий. Производимый сегодня ассортимент канатов способен удовлетворить спрос на них во всех отраслях, где троса востребованы. При выборе метиза для определенных целей приходится считаться с рядом факторов. Определяющими из них являются прочностные характеристики, приведенные в заводском паспорте канатной продукции. Важным параметром принято считать разрывные усилия канатов – предельные нагрузки, сопровождающиеся разрушением витого изделия.
На практике прочность канатной продукции зависит от целого комплекса особенностей изделия, среди которых следует назвать:
- конструкцию троса, определяемую ГОСТом, в соответствии с которым он изготовлен;
- маркировочную группу каната, указывающую на прочностные характеристики;
- диаметры и сечения проволок, из которых он свит и пр.
В конечном итоге разрывное усилие троса зависит от диаметра самого изделия и рост его пропорционален увеличению сечения каната.
Трактовка понятия разрывного усилия стальных канатов вытекает из самого термина. По сути, это силовая нагрузка, которую необходимо приложить к тросу для его разрушения. Существует два значения этой характеристики канатной продукции, обычно приводимых в стандарте на трос стальной. Они представлены:
• разрывным усилием каната в целом;
• суммарным разрывным усилием каната.
Первое из них определяется на каждую партию канатной продукции посредством заводских испытаний. И если с первым все понятно, то суммарное значение складывается из разрывных усилий всех проволок, пошедших на повив каната.
Обычно это значение выше, нежели для канатного изделия целиком, так величина разрывного усилия каната ГОСТ 2688 составляет примерно 84.9% от суммы всех проволок.
Важной характеристикой, определяющей прочность канатной продукции можно назвать упомянутую выше маркировочную группу. Она указывает на временное сопротивление разрыву проволок и измеряется в Н/мм² (кгс/мм²). Фактически это сила, приложенная к проволоке, превышение которой приводит к разрыву последней. Среди серийно производимой канатной продукции встречаются маркировочные группы: 1370 (140) … 1860 (190) Н/мм² (кгс/мм²). Более высокие показатели прочности используются для выполнения специальных заказов. Троса от 1960 Н/мм² (200 кгс/мм²) и выше производятся по согласованию с заказчиком.
Практический расчет разрывного усилия каната (Q_раз) производится несложно. Для него следует воспользоваться формулой:
Q_раз = k·P,
где k – коэффициент, указывающий на запас прочности, а P – расчетная (рабочая) нагрузка, при которой намечается эксплуатация троса.
Чтобы определиться с коэффициентом, необходимо разделить два термина, приведенные в формуле. Разрывной нагрузке мы посвятили предыдущие строки, а рабочая указывает на вес груза, перемещаемого при помощи троса. Для безопасной работы она всегда меньше, нежели величина статического разрывного усилия каната. Коэффициента запаса прочности значение соответственно в разы больше единицы и равно:
k = Q_раз/P.
Приобретая канатную продукцию для определенных целей, следует учитывать оба вида нагрузки – это важно для продолжительной и безупречной ее работы.
Как выбрать нужный трос?
В случае необходимости выбрать канат по разрывному усилию, можно воспользоваться таблицей, размещенной на этой странице. Приведенные в ней данные учитывают все требования действующих стандартов на предлагаемую нами продукцию. Используя эту информацию можно подобрать трос, максимально пригодный для целей потребителя.
Wire Rope — Strength
Engineering ToolBox — Ресурсы, инструменты и базовая информация для проектирования и проектирования технических приложений!
6 жил x 19 провод (6×19) — минимальная прочность на разрыв, безопасные нагрузки и вес.

Рекламные ссылки
Минимальная прочность на разрыв и безопасная нагрузка для каната из светлой проволоки без покрытия с волокнистым сердечником (FC), улучшенной струговой стали (IPS):
| Диаметр каната | Безопасная нагрузка | Вес | |||||
|---|---|---|---|---|---|---|---|
| (дюймы) | (мм) | (фунты f 90 037 ) | (кН) | (фунт f ) | (кН) | (фунт м /фут) | (кг/м) |
| 1/4 | 6,4 | 5480 | 24,4 | 1100 | 4,89 | 0,11 | 0,16 |
| 5/16 | 8 | 8520 | 37,9 | 1700 | 7,56 | 0,16 | 0,24 |
| 3/8 | 9,5 | 12200 9006 9 | 54,3 | 2440 | 10,9 | 0,24 | 0,36 |
| 7/16 | 1 1,5 | 16540 | 73,6 | 3310 | 14,7 | 0,32 | 0,48 |
| 1/2 | 13 | 21400 | 95,2 | 4280 | 19,0 | 0,42 | 0,63 |
| 9/16 | 14,5 | 27000 | 5400 | 24,0 | 0,53 | 0,79 | |
| 5/8 | 16 | 33400 | 149 | 6680 | 29,7 | 0,66 | 0,98 |
| 3/4 | 19 | 47600 | 212 | 9520 | 42,3 | 0,95 | 1,41 |
| 7/8 | 22 | 64400 | 286 | 12900 | 57,4 | 1,29 | 1,92 |
| 1 | 26 | 83600 | 372 | 16700 | 74,3 | 1,68 | 2,50 |
| 1 1/8 | 29 | 105200 | 468 | 21000 | 93,4 | 3.17 | |
| 1 1/4 | 32 | 129200 | 575 | 2580 0 | 115 | 2,63 | 3,91 |
| 1 3/8 | 35 | 155400 | 6 91 | 31100 | 138 | 3,18 | 4,73 |
| 1 1/2 | 38 | 184000 | 818 | 36800 | 164 | 3 .78 | 5,63 |
| 1 5/8 | 42 | 214000 | 852 | 42800 9006 9 | 190 | 4,44 | 6,61 |
| 1 3/4 | 45 | 248000 | 1100 90 069 | 49600 | 221 | 5,15 | 7,66 |
| 1 7/8 | 48 | 282000 | 1250 | 56400 | 251 | 5 .91 | 8,80 |
| 2 | 52 | 320000 | 1420 | 64000 | 6.72 | 10.0 | |
Пример — максимальная безопасная масса для троса диаметром 3/8 дюйма
Отношение между массой и силой (весом) можно выразить как
m = F / g (1)
где
F = сила, вес (Н)
м = масса (кг)
г = ускорение свободного падения (9,81 м/ s 2 )
Максимальная безопасная масса троса 3/8″ , где безопасная нагрузка составляет 10,9 кН.
можно рассчитать как
м = (10,9 10 9041 6 3 Н) / (9,81 м/с 2 )
= 1111 кг
Скачать и распечатать Таблицу безопасной нагрузки на стальной канат
Рекламные ссылки
Похожие темы
Разное 9 0395 Темы, связанные с инженерией, такие как шкала ветра Бофорта, маркировка CE, стандарты чертежей и многое другое.
Сопутствующие документы
Лифты — усилие и мощность
Требуемое усилие и мощность для подъема лифта.
Силы и натяжения в канатах под углом
Уменьшенная грузоподъемность канатов, тросов или линий — из-за угла действия.
Манильский канат — Прочность
Минимальная разрывная нагрузка и безопасная нагрузка манильского трехпрядного каната.
Нейлоновая веревка — прочность
Нейлоновая трехпрядная и восьмипрядная веревка — минимальная прочность на разрыв и безопасная нагрузка.
Веревка из полиэстера — прочность
Веревка из полиэстера с 3 и 8 прядями — минимальная прочность на разрыв и безопасная нагрузка.

Веревка из полипропиленового волокна — Прочность
Полипропиленовое волокно 3-прядный и 8-прядный канат — минимальная прочность на разрыв и безопасная нагрузка.
Скобы — безопасные грузы
Безопасные нагрузки кандалов.
Веревка из сизаля — прочность
Веревка из сизаля 3-прядная, с минимальной прочностью на разрыв и безопасной нагрузкой.
Стальная вата — марки
Марки стальной шерсти в зависимости от толщины волокна.
Лебедки
Сила усилия для подъема груза.
Канатные стропы
Углы подвески и влияние на грузоподъемность.
Рекламные ссылки
Engineering ToolBox — Расширение SketchUp — 3D-моделирование онлайн!
Добавляйте стандартные и настраиваемые параметрические компоненты, такие как балки с полками, пиломатериалы, трубопроводы, лестницы и т. д., в свою модель Sketchup с помощью Engineering ToolBox — расширение SketchUp, которое можно использовать с потрясающими, интересными и бесплатными приложениями SketchUp Make и SketchUp Pro.
. Добавьте расширение Engineering ToolBox в свой SketchUp из хранилища расширений SketchUp Pro Sketchup!
Перевести
О Engineering ToolBox!
Мы не собираем информацию от наших пользователей. Подробнее о
- Политика конфиденциальности Engineering ToolBox
Реклама в ToolBox
Если вы хотите продвигать свои продукты или услуги в Engineering ToolBox, используйте Google Adwords. Вы можете настроить таргетинг на Engineering ToolBox с помощью управляемых мест размещения AdWords.
Цитирование
Эту страницу можно цитировать как
- Инженерный набор инструментов (2009 г.). Проволочный трос — Прочность . [онлайн] Доступно по адресу: https://www.engineeringtoolbox.com/wire-rope-strength-d_1518.html [День доступа, месяц, год].
Изменить дату доступа.
. .
закрыть
Сделать ярлык на главный экран?
Номинальная прочность стальных канатов
перейти к содержанию
Номинальная прочность стальных канатов2022-03-22T14:01:47-04:00
6 x19 Классификация/Блестящие (без покрытия) или оцинкованные, с волокнистым сердечником |
| Номинальный Диаметр | Номинальная Прочность* | Приблизительный Масса |
| Улучшенная сталь плуга |
| Дюймы | ММ | ТОНН | МЕТРИЧЕСКИЕ ТОННЫ | фунт/фут | кг/м |
| 1/4 | 6,5 | 2,74 | 2,49 | 0,11 | 0,16 |
| 5/16 | 8,0 | 4,26 | 3,86 | 0,16 | 0,24 |
| 3/8 | 9,5 | 6. 10 | 5,53 | 0,24 | 0,35 |
| 7/16 | 11,5 | 8,27 | 7,50 | 0,32 | 0,48 |
| 1/2 | 13,0 | 10,70 | 9,71 | 0,42 | 0,63 |
| 16 сентября | 14,5 | 13,50 | 12.20 | 0,53 | 0,79 |
| 5/8 | 16,0 | 16,70 | 15.10 | 0,66 | 0,98 |
| 3/4 | 19,0 | 23,80 | 21,60 | 0,95 | 1,41 |
| 7/8 | 22,0 | 32,20 | 29,20 | 1,29 | 1,92 |
| 1 | 26,0 | 41,80 | 37,90 | 1,68 | 2,50 |
| 1-1/8 | 29,0 | 52,60 | 47,70 | 2,13 | 3,17 |
| 1-1/4 | 32,0 | 64,60 | 58,60 | 2,63 | 3,91 |
| 1-3/8 | 35,0 | 77,70 | 70,50 | 3,18 | 4,73 |
| 1-1/2 | 38,0 | 92,00 | 83,50 | 3,78 | 5,63 |
| 1-5/8 | 42,0 | 107,00 | 97. 10 | 4,44 | 6,61 |
| 1-3/4 | 45,0 | 124,00 | 112,00 | 5,15 | 7,66 |
| 1-7/8 | 48,0 | 141,00 | 128,00 | 5,91 | 8,80 |
| 2 | 51,0 | 160,00 | 145,00 | 6,72 | 10.00 |
| 2-1/8 | 54,0 | 179,00 | 162,00 | 7,59 | 11.30 |
| 2-1/4 | 57,0 | 200,00 | 181,00 | 8,51 | 12,70 |
| 2-3/8 | 61,0 | 222,00 | 201.00 | 9,48 | 14.10 |
| 2-1/2 | 64,0 | 244,00 | 221,00 | 10,50 | 15,60 |
| 2-5/8 | 67,0 | 268,00 | 243,00 | 11,60 | 17.30 |
| 2-3/4 | 70,0 | 292,00 | 265,00 | 12,70 | 18,90 |
* Чтобы перевести
в килоньютоны (кН), умножьте тонны (номинальная прочность на разрыв)
на 8,896; 1 фунт = 4,448 ньютона (Н).
Чаще всего такую продукцию применяют для тросовой работы.
13
10
10